刘 勇 Email:lyssym@sina.com
简介
鉴于在Web抓取服务和文本挖掘之句子向量中对权重值的计算需要,本文基于MapReduce计算模型实现了PageRank算法。为验证本文算法的有效性,本文采用177万余条源URL到目标URL链接的数据集,并迭代101次来展开测试,测试结果表明:对上述数据集进行测试,总计耗时40.29分钟。因此,在权重评定的算法设计与实现中引入该思想,具有较好的现实意义。
引言
在Web抓取服务中,由于采用多个定向爬虫对网页进行抓取,因此其面临2个重要问题,1)爬虫的调度问题,不同的爬虫的抓取频率决定了获取该站点的信息数量;2)爬虫的深度问题,在某个站点内抓取越深,其获取的信息越陈旧,而爬虫设计者的本意是及时回头,即到达一定深度后,返回站点首页或者回退至上一步。因此,基于上述现实问题,本文作者拟将Google的PageRank算法的排名思想引入至该应用中,通过其PageRank值来确定各站点的抓取频率,但是采用这种设计的结果,则是设计一个全网爬虫。
在文本挖掘研究中,对句子权重的研究中,拟引入PageRank思想来计算句子向量的权重中,主要是基于句子相互间存在语义关联。
鉴于上述原因,结合Web数据规模日益扩展的需要,采用MapReduce计算模型实现PageRank算法。
PageRank设计
1) 有向图
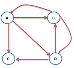
互联网中的网页可以视为有向图,每一个网页可以视为一个节点,若网页A中有一个链接到B,则存在一条有向边AàB。如图1所示,为一个简单的网络链接有向图。
图1 网络链接有向图
根据图1对PageRank排名思想解释如下:对于A节点,其存在3条链出(A-->B,A-->C,A-->D),因此B、C、D分别获得A节点PageRank(PR)值的1/3;但是,节点A又存在2条链入(B--> A,C-->A),即节点B的PR的1/2和节点C的PR对A有贡献。其它节点,与之类同,在此不做赘述。
根据上述分析,很明显PageRank算法需要做多次迭代,以期使各节点的PR值趋于稳定(最终达到收敛)。本文作者设计时,拟采用100为最大迭代次数。
2) 终止与陷阱
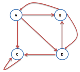
若将Web抓取服务(网络爬虫)视为马尔科夫链过程,则上述收敛问题,必须满足有向图是强关联的。但是现实网络世界里,强关联有向图不太现实,即有些站点(网址)中的信息中根本没有链接或者链接已失效,即面临节点终止问题,如图2所示。
图2网络链接有向图
在图2中,节点C没有链出,即Web抓取服务在C节点面临终止,其造成PR值在多次迭代之后收敛于0。按照网络爬虫设计的本意,当面临节点终止时,应该跳转至其它的节点,最常见的做法为跳转至站点首页或者返回上一级。
此外,有些站点(网址)为了方便向用户提供服务,会在网页醒目位置多次嵌入本网页的链接,如门户网站。但是,若某一个站点(网址)只嵌入本网页的链接,则必然造成网络爬虫掉入陷阱中,进入死循环,即面临节点陷阱问题,如图3所示。
图3 网络链接有向图
在图3中,节点C只存在自身的链出,即Web抓取服务在C节点陷入死循环,其造成PR值在多次迭代之后,C节点的PR值为1,其它节点的PR值均为0。按照网络爬虫设计的本意,当面节点陷阱时,应该跳转至其它的节点,最常见的做法为跳转至站点首页或者返回上一级。
因此,本文作者综合上述2种特殊情形,引入以下策略,每个节点,都有权力选择进入下一个节点,或者回退至上一个节点。具体数学表达式如公式1所示:
(公式1)
如公式1所示,α为影响因子, 和分别为当前迭代中某节点的PR值和上一次迭代中某节点的PR。鉴于每个节点均有权利回退至上一个节点,由于表征上一次迭代中所有链入之和,故此引入该参数来表征回退至上一次的可能性。
3) 算法设计
本文在设计中,采用两级MapReduce计算模型来实现,第一级MapReduce生成网络链接的有向图;第二级MapReduce用于迭代PR,以确定PR是否收敛。需要指出,本文在设计过程中,Reducer均设定为5个。
针对第一级MapReduce,对其Mapper和Reducer简要描述如下:
Mapper:完成源URL和目标URL的标识,如A-->B;
Reducer: 根据源URL(有向图),实现某一节点至其所有链出的标识,如A-->B-->C-->D,需要指出,上述标识表示,A-->B,A-->C,A-->D。采用该设计主要是为了节省节点存储空间。
针对第二级MapReduce,对其Mapper和Reducer简要描述如下:
Mapper: 完成链出节点及其PR获取,如B节点存在B-->A,B-->D,则A和D均分B的PR值;
Reducer:针对Mapper中每个节点及其PR,对该节点PR值求和,并采用公式1进行量化。
其中第二级MapReduce采用多次迭代,若迭代过程中,节点的PR已收敛,则退出迭代。
4) 测试结果
本文测试环境描述如下,采用10台物理机组成Hadoop集群,CPU:Intel(R) Core(TM) i5-4440 CPU @ 3.10GHz,内存:4G,Hadoop:2.7.1,以上描述为集群的大概配置,其中某个节点的配置可能不一致,本文作者也并未对每个节点进行详细确认。本文测试数据集采用177万余条链接,迭代101次(迭代次数当时控制失误,本意为100次,作者比较懒就没有重新再次迭代了),总计耗时为40.29分钟。从整体而言,其处理速率在1小时内,还是能够接受的。
总结
本文对基于MapReduce的PageRank算法进行研究与实现,经过实际数据集进行测试,测试结果表明,该测试结果处理速率还是能够接受的。但是,本文作者的意图并不是为了实现该算法,而是将该算法的设计思想引入后续Web抓取服务的优化与改进之中,以及后续文本挖掘中对权重值计算的需要之中。
程序源代码:
1 import java.io.IOException; 2 import org.apache.hadoop.io.NullWritable; 3 import org.apache.hadoop.io.Text; 4 import org.apache.hadoop.mapreduce.Mapper; 5 import org.apache.hadoop.mapreduce.Reducer; 6 import org.apache.logging.log4j.LogManager; 7 import org.apache.logging.log4j.Logger; 8 9 public class GraphSet { 10 11 public static class GraphMapper extends Mapper<Object, Text, Text, Text> { 12 public static Logger logger = LogManager.getLogger(GraphMapper.class); 13 14 public void map(Object key, Text value, Context context) 15 { 16 String[] link = value.toString().split("\t"); 17 try { 18 context.write(new Text(link[0]), new Text(link[1])); 19 } catch (IOException e) { 20 e.printStackTrace(); 21 } catch (InterruptedException e) { 22 e.printStackTrace(); 23 } 24 } 25 } 26 27 28 public static class GraphReducer extends Reducer<Text, Text, NullWritable, Text> { 29 public static Logger logger = LogManager.getLogger(GraphReducer.class); 30 public void reduce(Text key, Iterable<Text> values, Context context) 31 { 32 StringBuilder sb = new StringBuilder(); 33 sb.append(key.toString()); 34 for (Text e : values) { 35 sb.append("\t"); 36 sb.append(e.toString()); 37 } 38 39 try { 40 context.write(NullWritable.get(), new Text(sb.toString())); 41 } catch (IOException e1) { 42 e1.printStackTrace(); 43 } catch (InterruptedException e1) { 44 e1.printStackTrace(); 45 } 46 } 47 } 48 49 }
1 import java.io.IOException; 2 import java.util.Map; 3 import java.util.HashMap; 4 5 import org.apache.hadoop.io.NullWritable; 6 import org.apache.hadoop.io.Text; 7 import org.apache.hadoop.io.DoubleWritable; 8 import org.apache.hadoop.mapreduce.Mapper; 9 import org.apache.hadoop.mapreduce.Reducer; 10 import org.apache.logging.log4j.LogManager; 11 import org.apache.logging.log4j.Logger; 12 13 public class PageRank { 14 public static double alpha = 0.8; 15 16 public static class PageRankMapper extends Mapper<Object, Text, Text, DoubleWritable> { 17 public static Map<String, Double> mapPR = new HashMap<String, Double>(); 18 public static Logger logger = LogManager.getLogger(PageRankMapper.class); 19 20 public void map(Object key, Text value, Context context) { 21 String[] str = value.toString().split("\t"); 22 int size = str.length; 23 double linkOut = mapPR.get(str[0]); 24 try { 25 for (int i = 0; i < size-1; i++) { 26 DoubleWritable dw = new DoubleWritable(); 27 dw.set(linkOut / (size-1)); // count the output of links 28 context.write(new Text(str[i+1]), dw); 29 } 30 } catch (Exception e) { 31 e.printStackTrace(); 32 } 33 } 34 } 35 36 37 public static class PageRankReducer extends Reducer<Text, DoubleWritable, NullWritable, Text> { 38 public static Logger logger = LogManager.getLogger(PageRankReducer.class); 39 private int numberOfUrl = 0; 40 41 public void setup(Context context) { 42 numberOfUrl = context.getConfiguration().getInt("numberOfUrl", Integer.MAX_VALUE); 43 } 44 45 46 public void reduce(Text key, Iterable<DoubleWritable> values, Context context) { 47 double factor = 0; 48 double sum = 0; 49 for (DoubleWritable d : values) 50 sum += d.get(); 51 52 if (PageRankMapper.mapPR.containsKey(key.toString())) 53 factor = PageRankMapper.mapPR.get((key.toString())); 54 else 55 factor = (double)1/(2*numberOfUrl); 56 57 sum = alpha*sum + (1-alpha)*factor; 58 String ret = key.toString() + "\t" + String.valueOf(sum); 59 try { 60 context.write(NullWritable.get(), new Text(ret)); 61 } catch (IOException e) { 62 e.printStackTrace(); 63 } catch (InterruptedException e) { 64 e.printStackTrace(); 65 } 66 } 67 } 68 69 }
1 import java.io.BufferedReader; 2 import java.io.IOException; 3 import java.io.InputStreamReader; 4 import java.net.URI; 5 import java.util.Map; 6 import java.util.HashMap; 7 import java.util.Set; 8 import java.util.TreeSet; 9 10 import org.apache.hadoop.conf.Configuration; 11 import org.apache.hadoop.fs.FSDataInputStream; 12 import org.apache.hadoop.fs.FileSystem; 13 import org.apache.hadoop.fs.Path; 14 import org.apache.hadoop.io.DoubleWritable; 15 import org.apache.hadoop.io.NullWritable; 16 import org.apache.hadoop.io.Text; 17 import org.apache.hadoop.mapreduce.Job; 18 import org.apache.hadoop.mapreduce.lib.input.FileInputFormat; 19 import org.apache.hadoop.mapreduce.lib.output.FileOutputFormat; 20 import org.apache.logging.log4j.LogManager; 21 import org.apache.logging.log4j.Logger; 22 23 import com.gta.graph.GraphSet; 24 import com.gta.graph.GraphSet.GraphMapper; 25 import com.gta.graph.GraphSet.GraphReducer; 26 import com.gta.pagerank.PageRank.PageRankMapper; 27 import com.gta.pagerank.PageRank.PageRankReducer; 28 29 public class PR { 30 public static final int MAX = 100; 31 public static final int TASK = 5; 32 public static final double THRESHOLD = 1e-10; 33 public static final String INPUT_PATH = "hdfs://10.1.130.10:9000/user/hadoop/pagerank/input/"; 34 public static final String OUTPUT_PATH = "hdfs://10.1.130.10:9000/user/hadoop/pagerank/output/"; 35 public static final String TMP_PATH = "hdfs://10.1.130.10:9000/user/hadoop/pagerank/tmp/"; 36 public static Logger logger = LogManager.getLogger(PR.class); 37 private Configuration conf = null; 38 private int numberOfUrl = 0; 39 40 public PR() 41 { 42 conf = new Configuration(); 43 } 44 45 46 public void initGraph() throws IOException, InterruptedException, ClassNotFoundException 47 { 48 Job job = Job.getInstance(conf, "Init Graph"); 49 job.setJarByClass(GraphSet.class); 50 job.setMapperClass(GraphMapper.class); 51 job.setMapOutputKeyClass(Text.class); 52 job.setMapOutputValueClass(Text.class); 53 job.setNumReduceTasks(TASK); 54 job.setReducerClass(GraphReducer.class); 55 job.setOutputKeyClass(NullWritable.class); 56 job.setOutputValueClass(Text.class); 57 FileInputFormat.addInputPath(job, new Path(INPUT_PATH)); 58 FileOutputFormat.setOutputPath(job, new Path(TMP_PATH)); 59 job.waitForCompletion(true); 60 initPRMap(TMP_PATH); 61 conf.setInt("numberOfUrl", numberOfUrl); 62 } 63 64 65 public void pageRank() throws IOException, InterruptedException, ClassNotFoundException 66 { 67 int iter = 0; 68 while (iter <= MAX) { 69 Job job = Job.getInstance(conf, "PageRank"); 70 job.setJarByClass(PageRank.class); 71 job.setMapperClass(PageRankMapper.class); 72 job.setMapOutputKeyClass(Text.class); 73 job.setMapOutputValueClass(DoubleWritable.class); 74 job.setNumReduceTasks(TASK); 75 job.setReducerClass(PageRankReducer.class); 76 job.setOutputKeyClass(NullWritable.class); 77 job.setOutputValueClass(Text.class); 78 FileInputFormat.addInputPath(job, new Path(TMP_PATH)); 79 FileOutputFormat.setOutputPath(job, new Path(OUTPUT_PATH + iter)); 80 job.waitForCompletion(true); 81 Map<String, Double> newPR = getNewPageRank(OUTPUT_PATH + iter); 82 if (compare(PageRankMapper.mapPR, newPR)) 83 break; 84 else { 85 for (String key : newPR.keySet()) 86 PageRankMapper.mapPR.put(key, newPR.get(key)); 87 } 88 89 iter++; 90 } 91 } 92 93 94 public void initPRMap(String filePath) 95 { 96 String fileName = filePath + "/part-r-0000"; 97 Set<String> set = new TreeSet<String>(); 98 try { 99 for (int i = 0; i < TASK; i++) { 100 FileSystem fs = FileSystem.get(URI.create((fileName+i)), conf); 101 FSDataInputStream is = fs.open(new Path((fileName+i).toString())); 102 BufferedReader br = new BufferedReader(new InputStreamReader(is, "UTF-8")); 103 String s = null; 104 while ((s = br.readLine()) != null) { 105 String[] str = s.split("\t"); 106 if (str.length == 0) 107 break; 108 set.add(str[0]); 109 } 110 br.close(); 111 } 112 113 numberOfUrl = set.size(); 114 for (String s : set) 115 PageRankMapper.mapPR.put(s, (double)1/numberOfUrl); 116 117 } catch (IOException e) { 118 e.printStackTrace(); 119 } 120 } 121 122 123 public Map<String, Double> getNewPageRank(String filePath) 124 { 125 Map<String, Double> newPR = new HashMap<String, Double>(); 126 String fileName = filePath + "/part-r-0000"; 127 try { 128 for (int i = 0; i < TASK; i++) { 129 FileSystem fs = FileSystem.get(URI.create((fileName+i)), conf); 130 FSDataInputStream is = fs.open(new Path((fileName+i).toString())); 131 BufferedReader br = new BufferedReader(new InputStreamReader(is, "UTF-8")); 132 String s = null; 133 while ((s = br.readLine()) != null) { 134 String[] elements = s.split("\t"); 135 newPR.put(elements[0], Double.parseDouble(elements[1])); 136 } 137 br.close(); 138 } 139 } catch (IOException e) { 140 e.printStackTrace(); 141 } 142 return newPR; 143 } 144 145 146 public boolean compare(Map<String, Double> oldPR, Map<String, Double> newPR) { 147 boolean ret = false; 148 int newPRSize = newPR.size(); 149 int oldPRSize = oldPR.size(); 150 if (oldPRSize == newPRSize) { 151 int count = 0; 152 for (String key : oldPR.keySet()) { 153 if (newPR.containsKey(key)) { 154 if (Math.abs(newPR.get(key) - oldPR.get(key)) <= THRESHOLD) 155 count++; 156 } 157 } 158 159 if (count == newPRSize) 160 ret = true; 161 } 162 return ret; 163 } 164 165 166 public static void main(String[] args) { 167 PR pr = new PR(); 168 try { 169 long start = System.currentTimeMillis(); 170 pr.initGraph(); 171 pr.pageRank(); 172 long end = System.currentTimeMillis(); 173 PR.logger.info("共耗时: " + (end-start)); 174 } catch (ClassNotFoundException e) { 175 e.printStackTrace(); 176 } catch (IOException e) { 177 e.printStackTrace(); 178 } catch (InterruptedException e) { 179 e.printStackTrace(); 180 } 181 } 182 183 }
本文插图参考:http://www.cnblogs.com/fengfenggirl/p/pagerank-introduction.html
作者:志青云集
出处:http://www.cnblogs.com/lyssym
如果,您认为阅读这篇博客让您有些收获,不妨点击一下右下角的【推荐】。
如果,您希望更容易地发现我的新博客,不妨点击一下左下角的【关注我】。
如果,您对我的博客所讲述的内容有兴趣,请继续关注我的后续博客,我是【志青云集】。
本文版权归作者和博客园共有,欢迎转载,但未经作者同意必须保留此段声明,且在文章页面明显位置给出原文连接。


所有评论(0)