连续变量的全概率和贝叶斯公式_我要自学生信之数据挖掘:朴素贝叶斯
首先必须要声明一下,我不是专业做贝叶斯的,写这篇文章主要是科普,其中涉及到的数学公式我会用更加浅显易懂的方式来描述,方便大家都能够有所收获。同时我认为贝叶斯并不是机器学习的专属,了解一下这个神级算法,打开一扇窗,相信你会有不同的看法。源头聊一个算法就要清楚它的历史,它怎么来的,最先用来解决什么实际问题,它根本原理以及推导过程是怎么样的,在现在有什么重要的应用,以及对于未来贝叶斯发展有什么看法等,这
首先必须要声明一下,我不是专业做贝叶斯的,写这篇文章主要是科普,其中涉及到的数学公式我会用更加浅显易懂的方式来描述,方便大家都能够有所收获。同时我认为贝叶斯并不是机器学习的专属,了解一下这个神级算法,打开一扇窗,相信你会有不同的看法。
源头
聊一个算法就要清楚它的历史,它怎么来的,最先用来解决什么实际问题,它根本原理以及推导过程是怎么样的,在现在有什么重要的应用,以及对于未来贝叶斯发展有什么看法等,这既是一套了解一个算法的流程,也是一种分析问题的思路。
先聊一聊贝叶斯算法是怎么来的,看一下维基百科上面的描述
所谓的贝叶斯方法源于贝叶斯生前为解决一个“逆概”问题写的一篇文章,而这篇文章是在他死后才由他的一位朋友发表出来的。在贝叶斯写这篇文章之前,人们已经能够计算“正向概率”,如“假设袋子里面有N个白球,M个黑球,你伸手进去摸一把,摸出黑球的概率是多大”。而一个自然而然的问题是反过来:“如果我们事先并不知道袋子里面黑白球的比例,而是闭着眼睛摸出一个(或好几个)球,观察这些取出来的球的颜色之后,那么我们可以就此对袋子里面的黑白球的比例作出什么样的推测”。这个问题,就是所谓的逆概问题。
这么说就比较抽象,我们用一个实际生活的例子来详解贝叶斯,顺便体会它的应用。
算命问题
首先需要普及两个概念,先验概率和后验概率,不明白?上例子。
村里面以前会有一些算命先生,测吉凶,但是作为算命先生来讲如何测的更加准确甚至是百发百中呢。算命先生通常会通过问一些问题来达到他对于你的了解。今天假设小布是算命先生,现在开始算命了,如果我对这个人没有任何了解,包括他的年龄、居住环境等等。按统计学的角度来说,一个人有三高(高血压、高血脂、高血糖)的概率咱们先认为是20%。那么,这个概率 P(三高) 就被称为先验概率。
什么是先验概率呢?也就是根据以往经验和分析得到的概率,这是一个大数据统计下基本是可信的数据。先验概率不受任何条件的影响,也不用我们用数据验证,在一定时间内基本不会发生变化。
再来看,小布了解到如果一个人大于70岁没有三高的可能性就比较小。年龄大之后很多病都伴随着来了,70岁后有三高的概率就比年轻的时候大一些,我们先计做是60%。如果把年龄大于70当作一种结果,然后去推测这个人活到是否有三高的概率,在这里我们把>70这个事件记作>70,没有三高这个事件计为没三高,这个概率 P(没三高 | >70) 就被称为后验概率。P(A|B)
再说,当知道了先验概率和后验概率,我们再来看看什么是联合概率。算命的例子中,P(没三高,70) 称之为联合分布,它表示活到70岁了且没有三高的概率。关于联合概率,满足下列乘法等式:
其中,P(没三高|>70) 就是刚刚介绍的后验概率,表示在“大于70岁”的条件下,“没有三高”的概率。P(70 | 没三高) 表示在“没三高”的情况下,一个人“大于70岁”的概率。
接着,小布想如何计算一个人没有三高的概率呢?当然我们可以根据年龄讲没有三高的概率分成两种情况:一种是年龄大于70且有三高的情况,另一种是年龄小于70且有三高的情况。一个人没有三高的概率就是这两种情况之和。因此,我们就推导出了全概率公式:
P(没有三高)=P(没有三高,>70)+P(没有三高,<70)=P(没有三高|>70).P(>70)+P(没有三高|<70).P(<70)
单个特征判断三高
好了,介绍完先验概率、后验概率、联合概率、全概率后,我们来看这样一个问题:三高的状态分成两种:没三高与有三高,概率分别为 0.8与0.2,且没三高的人群里面大于70岁的概率是0.2,有三高里面大于70岁的概率是0.7。那么,如果我遇到一个大于70的人,这个人没有三高的概率多大?
显然,这是一个计算后验概率的问题,根据我们上面推导的联合概率和全概率公式,可以求出:
一项一项来看:
条件概率 P(>70 | 没三高) = 0.2,
先验概率 P(没三高) = 0.8,
条件概率 P(>70 | 三高) = 0.7,先验概率 P(三高) = 0.2
将以上数值带入上式,得:
这样,我们就计算得到了大于70岁有三高的概率是 0.53。注意,以上这种计算后验概率的公式就是利用贝叶斯定理。有点意外吧?不知不觉,可以说你已经掌握了贝叶斯定理的思想了。
多个特征判断是否三高
为了确定这个人是不是三高,需要更多的因素。除了要看年龄是不是比较大,还要看体型和性别。体型有胖和瘦之分,性别分男女。这么多特征我们怎么利用起来呢?可以使用刚刚引入的贝叶斯定理思想来尝试解决这个问题。
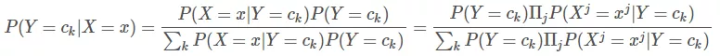
现在,特征由原来的 1 个,变成现在的 3 个,我们用 X 表示特征,用 Y 表示是否三高。则根据贝叶斯定理,后验概率 P(Y=ck | X=x) 的表达式为:
其中,ck 表示类别,k 为类别个数。本例中,k = 1,2,c1 表示有三高,c2 表示没有三高。上面的公式看似有点复杂,但其实与单特征(年龄是否大于70)的形式是一致的。
有一点需要注意,这里的特征 X 不再是单一的,而是包含了 3 个特征。因此,条件概率 P(X=x | Y=ck) 假设各个条件相互独立,也就是说假设不同特征之间是相互独立的。这样,P(X=x | Y=ck) 就可以写成:
其中,n 为特征个数,j 表示当前所属特征。针对这个例子,P(X=x | Y=ck) 可以写成:
这样看起来可能还是有些别扭,我们把每个里面的Y=ck这个条件隐去,是不是就比较熟悉了。
这种条件独立性的假设就是朴素贝叶斯法“朴素”二字的由来。这一假设让朴素贝叶斯法变得简单,但是有时候会牺牲一定的分类准确率。这样,利用朴素贝叶斯思想,我们就可以把后验概率写成:
现在,小布算命先生看到一个人,知道了他的性别、体型、年龄三个特征,就能根据上面的朴素贝叶斯公式,分别计算 c1(有三高)和 c2(没三高)的概率,即 P(Y=c1 | X=x) 和 P(Y=c2 | X=x)。然后再比较 P(Y=c1 | X=x) 和 P(Y=c2 | X=x) 值的大小:
若 P(Y=c1 | X=x) > P(Y=c2 | X=x),即,有三高的概率更大;
若 P(Y=c1 | X=x) < P(Y=c2 | X=x),即,没三高的概率更大。
值得注意的是上式中的分母部分,对于所有的 ck 来说,都是一样的。因此,分母可以省略,不同的 ck,仅比较 P(Y=ck | X=x) 的分子即可:
机器学习与朴素贝叶斯
当然我们在做这个的过程中,还是忽略了一些问题,先验概率是怎么得出来的,这也就开始和我们的机器学习挂钩了,需要有一些历史数据让我们知道先验概率,这就是计算机进行学习的基本数据,为了达到一定的准确性,我们常常需要喂给机器大量的数量,让他能够更加准确的计算先验概率,随着根据既定的贝叶斯算法,我们输入一个人的几个特征值,进而就能输出一个结果这个人是不是有三高,这种根据特征值判断的方式就是分类的方式。比如面部识别,首先需要大量的人脸数据来选取能够特定识别的特征值,每一次人脸的记录都是一次学习,都会形成一个类似于特征值表格的东西,对特征值进行分类,不过为了保证准确率,需要的特征值一定是非常多的。根据特征值来判断你是不是张三或者是不是李四。
更多推荐


所有评论(0)