科研党必备!AiPy一键自动分析 200+篇文献,形成10+张可视化图谱,效率提高500%
一键输入指令,帮你免去一切中间步骤,直达结果。
本期,我用AI产品AiPy模拟citespace的功能,跑了200+篇文献的结构化数据分析,发现它能够一键生成趋势图谱、关键词共现、研究断层和爆点可视化图表,还有简明易读的综述内容。
以此为例可以发现,只要你有快速处理资料和文献、洞察趋势、抓住重点以及丰富汇报的需求,都可以试试用 AI 来帮你做数据分析,效率猛猛up。
放在以前做这种数据分析需要下载工具、学习工具再慢慢上手,但现在,你只需要一键输入指令,就能帮你免去一切中间步骤,直达结果。
先看效果:

图1 关键词词云图(越大的字表示出现频率越高)

图2 关键词共现网络关系图

图3 关键词分类统计柱状图

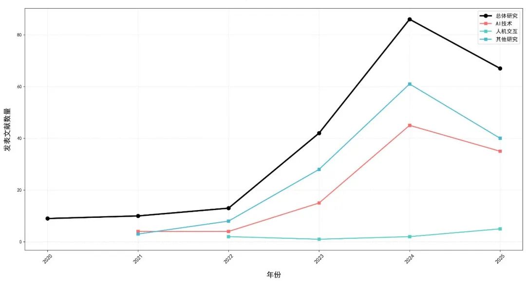
图4 文献发表年度趋势折线图

图5 高产作者论文数量分布图(Top 10)

图6 活跃机构论文分布图(Top 10)

图7 内容创作与传播研究年度趋势

图8 人机传播与交互研究年度趋势

图9 人工智能技术研究年度趋势

图10 文献研究综述报告(节选)
复盘:两步直达结果
第一步:安装AiPy
进入AiPy官网(优势:开源、免费、本地化部署,保护数据安全),点 “下载” 按钮,一键五秒安装成功,打开直接使用。
进阶玩法:点击官网首页底部 “更多使用指南”,查看更多实用有意思的案例。

第二步:输入指令并上传分析文件
①准备指令(本条指令由AI优化):

②打开AiPy,在对话框上传指令及待分析数据,自动转换成绝对路径,等待AiPy分析完成。


③泡杯咖啡等待3-5分钟,各种图、文档已经被分类保存至本地,直接取用即可,效率整个up up。

本期测评的AI工具AiPy在数据分析上展现出强大能力。本人曾经用citespace做过同样选题的数据分析,对比下来发现AiPy的的数据分析精确度很高,图表呈现内容和citespace给出的核心内容几乎一摸一样。
可以说,AiPy是一款真正能落地指令、解放双手的AI工具,感兴趣的可以去尝试下。
我们下期继续探索。
更多推荐


所有评论(0)